mathfun

mathfun@mailman.xmission.com

October 2015

  • 40 participants
  • 82 discussions

09 Oct '15

08 Oct '15

08 Oct '15
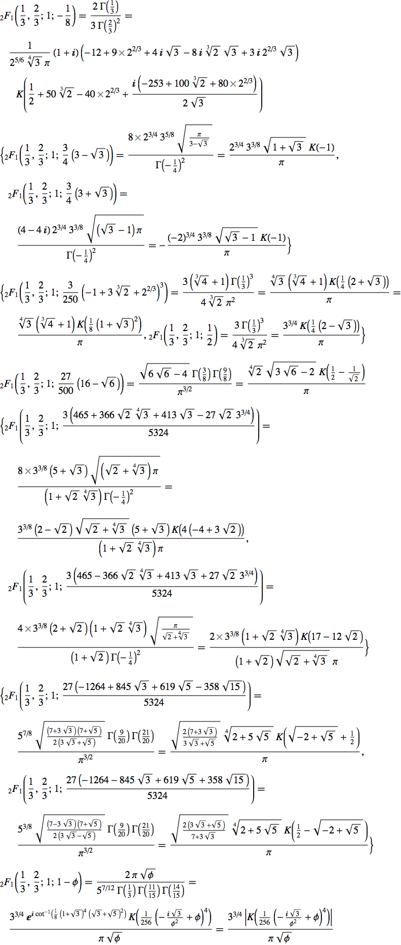
[math-fun] signature 3 vs signature 2
by Bill Gosper 08 Oct '15

08 Oct '15

05 Oct '15
[math-fun] curious denesting
by Bill Gosper 04 Oct '15

04 Oct '15

03 Oct '15